A pedigree is a diagram of family relationships in which symbols are used to represent people, and lines are used to represent genetic relationships. These diagrams make it easier to visualize the relationships within the families, particularly large extended families. Pedigrees are also often used to determine the mode of inheritance of genetic diseases (Strachan and Read. 1999). The affected individual through whom the pedigree is discovered is called the propositus.

Autosomal Dominant Inheritance
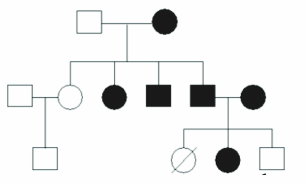
The major characteristics are following:
- It manifests in the heterozygous state i.e. in a person possessing both an abnormal and normal allele,
- Gene is located on autosome,
- Both males and females are equally affected, and
- Every affected person has at least one affected parent.
- An affected parent will pass the trait to half his/her progeny, with sons and daughters equally affected.
- Deleterious dominant traits (mutations) are unlikely to be passed to the next generation, with the exception of late-onset traits like Huntington disease.
- Vertical family history may be seen and male to male transmission is possible.
- Trait present in every generation . i.e no skipping of generation.
Example:
- Huntington’s disease
- Brachydactyly (short fingers)
- Polydactyly(extra finger)
- Achondroplasia(short limbed dwarfism)
Autosomal Recessive Inheritance

The major characteristics are the following:
- The gene is located on autosome,
- Two copies(homozygous condition) of the mutant gene is necessary for phenotypic manifestations,
- Most affected individuals have unaffected parents i.e unrelated carriers (heterozygotes)
- Males and females are equally affected,
- Matings between two carriers will produce normal progeny and affected progeny in a ratio of approximately 3:1. Affected progeny will include both males and females.
- Pedigree may show several sibs and cousins affected in the same generation indicating a horizontal transmission, and
- Consanguinity is often present i.e Many of the classical human genetic studies have been dependent upon mating of relatives, mainly first cousins.
Example:
- Sickle Cell Anemia
- Phenylketonuria
- Alkaptonuria
- Microcephaly
- Albinism
- Schizophrenia
- Cystic fibrosis
X-linked recessive inheritance

The major characteristics are the following:
- The mutant gene is on the X-chromosome,
- One copy of mutant gene in males and two copies of mutant gene in females are needed for phenotypic effect,
- Usually males are affected and transmission is through heterozygous (carrier) females
- All of the sons of an affected mother will be affected. (Sons receive their only X chromosome from their mother).
- Half the sons of a carrier mother will be affected. All daughters of carrier mothers will be normal, but half will be carriers.
- All the children of affected males will be normal. Affected fathers do not pass the mutant allele to their sons (as sons inherit Y, not X, from their fathers), but do pass the mutant allele to their daughters (all of whom are carriers).
- The trait often skips a generation: affected grandfather to carrier female to affected son.
- The trait appears in successive generations when a sister of an affected male is a carrier (half her sons will show the trait).
- More males than females are affected (hemizygousity of the X in males reveals phenotype).
Example:
- Hemophilia,
- Color blindness ,
- Duchenne’s muscular dystrophy (DMD)
- Glucose-6-phosphate dehydrogenase (G6PD)
X-Linked Dominant Inheritance

The major characteristics are the following:
- Affected males pass on the condition to all of their daughters but to none of their sons.
- One-half the sons and daughters of an affected female will show the trait.
- More females than males show the mutant phenotype.
- The pattern of inheritance resembles autosomal dominant,
- No male to male transmission, and
- Affected heterozygous females transmit the condition to half of their children of either sex and affected homozygous females transmit to all their children.
- Generally, X-linked dominant traits tend to be milder in females than males.
Example:
- Hypophosphatemia (Vitamin D-resistant rickets)
- Xg blood group system
- Toe webbing
- Enamel hypoplasia
Y-linked inheritance

The major characteristics are the following:
A Y-linked trait would pass from an affected father to all of his sons, and then from them to their grandsons, etc. Besides the determination of maleness itself, no clearcut Y-linked traits have showed up, although genes controlling fertility, long ear hair, gonad cancers, and physical stature have been implicated as Y-linked traits. The Y has few genes and human females do perfectly well without it.
example: Hairy Ears and Retinitis Pigmentosa.
Mitochondrial Inheritance

Conditions caused by a mutation in the mitochondrial DNA have unusual patterns.
- both males and females are affected
- the condition is transmitted through the female to her offspring
- if a male has the trait and his spouse doesn’t, their offspring won’t have the trait
In the first pedigree, you will see that when a female has the trait, all of her offspring have the trait, but in the second pedigree, this is not necessarily the case. The expression of mitochondrial conditions is variable. Inside each cell, there are several mitochondria. The number of mitochondria that carry the mutation can vary. A certain proportion of mutant mitochondria within a cell can be tolerated and the disease will not be expressed in the organism. A larger proportion of mutant mitochondria however, may cause the disease to be expressed in the organism.
The first pedigree shows how inheritance is transmitted through the female, in the cytoplasm of her egg cell. The second pedigree shows how the expression can vary depending on the proportion of mitochondria carrying the mutation.
Example: Inherited blindness (Leber’s hereditary optic neuropathy) and a type of deafness (Muller and Young. 2001).